LaTeX 수식이 너무 길 때
#LaTeX
LaTeX로 수식을 쓰다보면, 수식이 너무 길어질 때가 있다. 그러면 페이지에서 잘리고 여러가지로 골치가 아파지는데 그 때 해결을 하려고 구글링을 해봤는데 \allowbreak이런거를 쓰면 된다고 했다. 그렇지만 이런걸로 해결이 안됐는데 그 이유는 바로 내 수식에 \left[ \right]과 같이 괄호를 크게 만들기 위해 쓰는 \left \right가 있기 때문이었다.
예를들어
1
2
3
$$
\frac{1}{n^2h_1^2h_2^2} \left\{ \int\int f(x_1)f(x_2)k^2\left( \frac{X_{1i}-x_1}{h_1}\right) k^2 \left( \frac{X_{2i}-x_2}{h_2} \right)dx_2dx_1 - \left[\int\int f(x_1)f(x_2)k\left( \frac{X_{1i}-x_1}{h_1}\right) k \left( \frac{X_{2i}-x_2}{h_2} \right)dx_2dx_1 \right]^2 \right\}\\
$$
와 같은 수식을 쓰려고 한다면 수식이 길어져 compile을 했을 때 결과물이 짤리므로 줄을 한칸 띄워야한다.
하지만 \\로 줄을 띄우면 \left \right가 한 줄에 있지 않아서 코드에러가 발생한다. 해결 방법은 생각보다 간단했다.
우선 \left \right를 안쓰면 된다. 그러면 괄호가 작아지는데 그 대신 우리는 \biggl \biggr을 쓰면 된다. 역할은 \left \right와 동일한데 크기가 큰 상태로 fixed되어있는 명령어다.
1
2
3
4
$$
&= \frac{1}{n^2h_1^2h_2^2} \biggl\{ \int\int f(x_1)f(x_2)k^2\left( \frac{X_{1i}-x_1}{h_1}\right) k^2 \left( \frac{X_{2i}-x_2}{h_2} \right)dx_2dx_1 \\
&\qquad - \left[\int\int f(x_1)f(x_2)k\left( \frac{X_{1i}-x_1}{h_1}\right) k \left( \frac{X_{2i}-x_2}{h_2} \right)dx_2dx_1 \right]^2 \biggr\}\\
$$
처럼 쓴다면 두 줄로 한 수식을 나눠서 쓸 수 있다. &=과 &\qquad -등으로 수식 정렬을 하면 깔끔하게 쓸 수 있고 한 수식이 끝나지 않았음을 &\qquad로 들여쓰기 해서 표현할 수 있다!
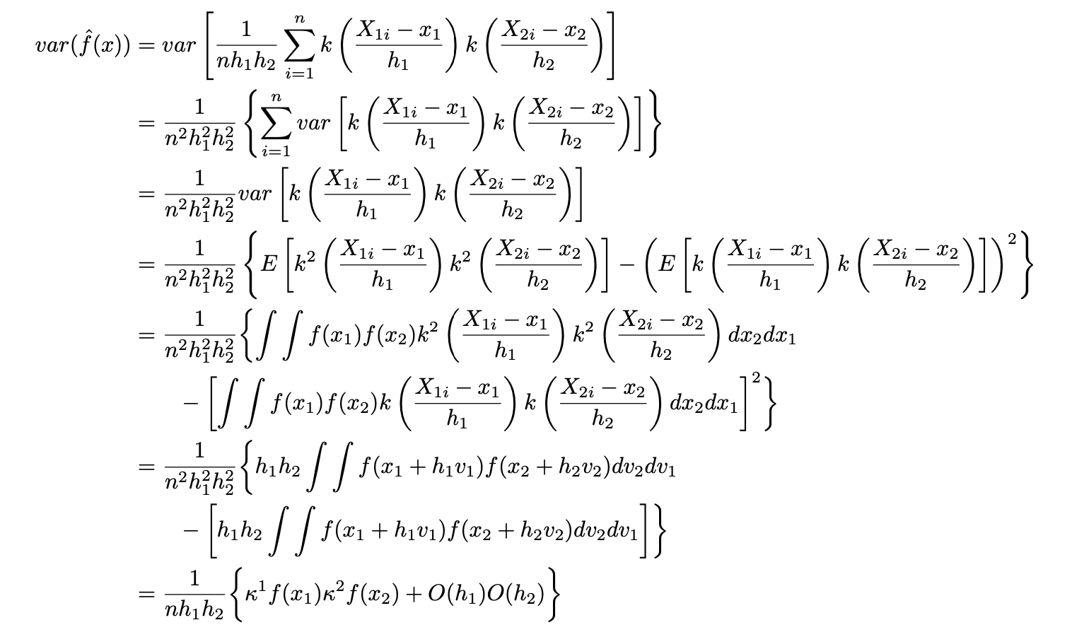
Stackedit상에서 수식이 자꾸 표현이 안되어서 사진으로 대체했다.
This post is licensed under CC BY 4.0 by the author.
