latex 수식 번호 관련 팁
#LaTeX
우선 기본적으로 나는 레이텍에서 수식을 입력할 때 \begin{align} \end{align}을 쓴다. eqnarray도 있는데 이유는 모르겠고 그냥 align이 더 좋았던 것 같다. 그리고 여기에 *을 붙여서 \{align*}을 하면 번호가 매겨지지 않은 수식을 입력할 수 있다.
여러 수식 중 몇 개는 번호를 매기지 않고 싶을 때
그런데 예를 들어서 두 줄의 수식을 입력하는데, 한 줄의 수식에는 번호가 필요가 없다면 어떻게 해야할까? 바로 \nonumber를 활용하면 된다.
1
2
3
4
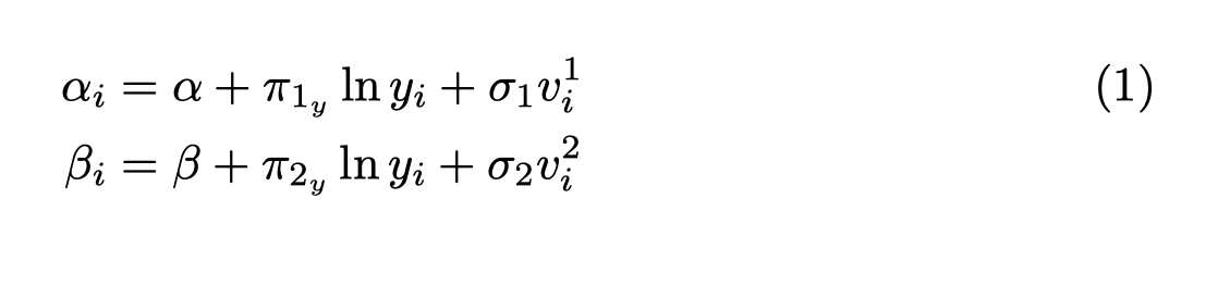
\begin{align}
\alpha_i &= \alpha + \pi_{1_y} \ln y_i + \sigma_1 v_i^1\\
\beta_i &= \beta + \pi_{2_y} \ln y_i + \sigma_2 v_i^2 \nonumber
\end{align}
이렇게 입력하면
이렇게 \nonumber를 입력한 식에는 번호가 들어가지 않은 것을 확인할 수 있다.
여러 수식을 하나의 번호로만 매기고 싶을 때
혹은 수식은 여러개인데 전체 수식에 하나의 넘버만을 부여하고 싶을 때는 어떻게 하면 될까? 그럴 때는 \begin{split} \end{split}을 사이에 넣어주면 된다.
1
2
3
4
5
6
\begin{align}
\begin{split}
\alpha_i &= \alpha + \pi_{1_y} \ln y_i + \sigma_1 v_i^1\\
\beta_i &= \beta + \pi_{2_y} \ln y_i + \sigma_2 v_i^2
\end{split}
\end{align}
이렇게 입력하면
This post is licensed under CC BY 4.0 by the author.
